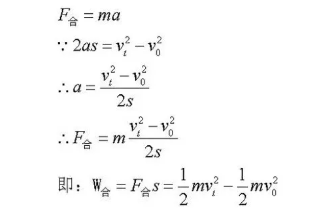
w=fs

被浏览:9284

关注者:879

最佳回答:

在物理学中,我们经常会遇到w=fs这个公式。w代表的是能量(work),f代表的是力(force),s代表的是力所施加的位移(displacement)。这个公式描述了力与位移之间的关系,下面我们将以分段的方式详细解释这个公式。

w=fs

一、力与位移之间的关系

力和位移是物理学中非常基本的概念。力指的是物体受到的作用,而位移则是物体沿着某个方向上移动的距离。这两个概念经常会在我们的日常生活中出现,例如我们推动推车、拉动箱子等等。在这些过程中,我们所施加的力会使物体发生位移,这种力与位移之间的关系就可以用w=fs来描述。

二、能量的定义

能量是指物体所拥有的做功能力。做功是指通过力对物体进行的作用,使物体发生位移,从而产生能量。而根据w=fs这个公式,可以得出能量等于力乘以位移的结果。

w=fs

三、力的大小和方向

力的大小是指物体所受到的作用力的大小。如果物体受到的是一个恒定的力,那么力的大小就是恒定的;如果物体受到的是一个变化的力,那么力的大小就会随着时间发生变化。

力的方向是指作用力所施加的方向。例如,我们在推车的过程中所施加的力是与车的方向相同的,而在拉动箱子的过程中所施加的力是与箱子的方向相反的。根据力的大小和方向,力可以有正负之分,正值代表力的方向与位移的方向相同,负值代表力的方向与位移的方向相反。

四、能量的正负问题

根据w=fs这个公式,当力与位移的方向相同时,所计算得到的能量是正值,表示物体所拥有的能量增加;当力与位移的方向相反时,所计算得到的能量是负值,表示物体所拥有的能量减少。

w=fs

我们可以通过一个例子来解释这一点。假设有一个物体受到向右方向的力,而物体往左方向移动了一段距离。根据力和位移的方向关系,可以得知力与位移的方向是相反的。代入公式w=fs,力为正值,位移为负值,所计算得到的能量是负数,表示物体所拥有的能量减少了。

五、w=fs的应用领域

w=fs这个公式在物理学中被广泛应用。它不仅可以解释各种日常生活中的力与位移之间的关系,还可以用于解释机械能和动能的转化关系,以及力的功率等问题。

总结:

w=fs是物理学中描述力与位移之间关系的重要公式,它帮助我们理解力对物体产生位移以及能量变化的过程。通过这个公式,我们可以更好地理解力的作用和能量的转化,深入探索物理学的奥秘。

获赞数:733

收藏数:39

回答时间:2024-06-25 03:36:38